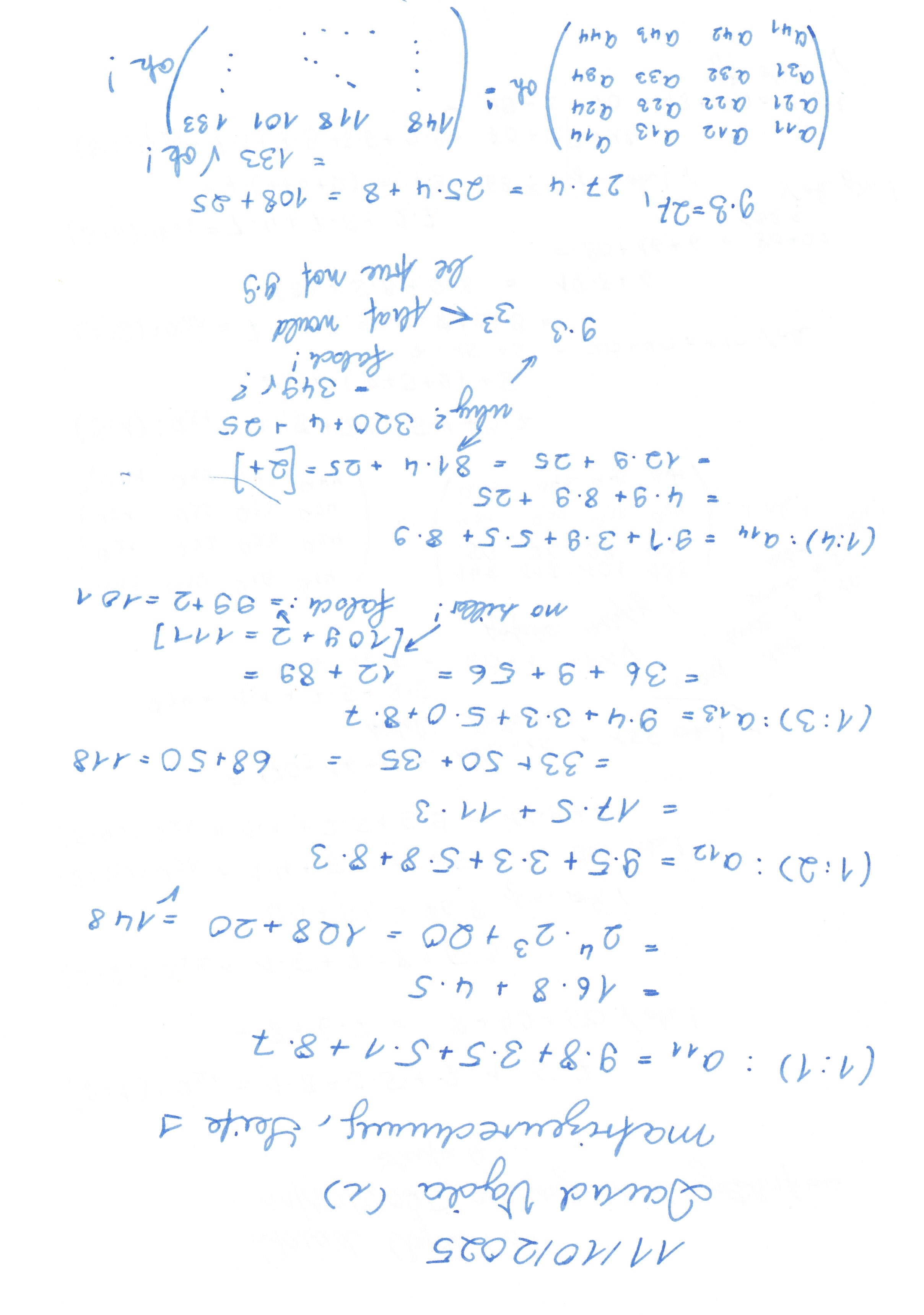
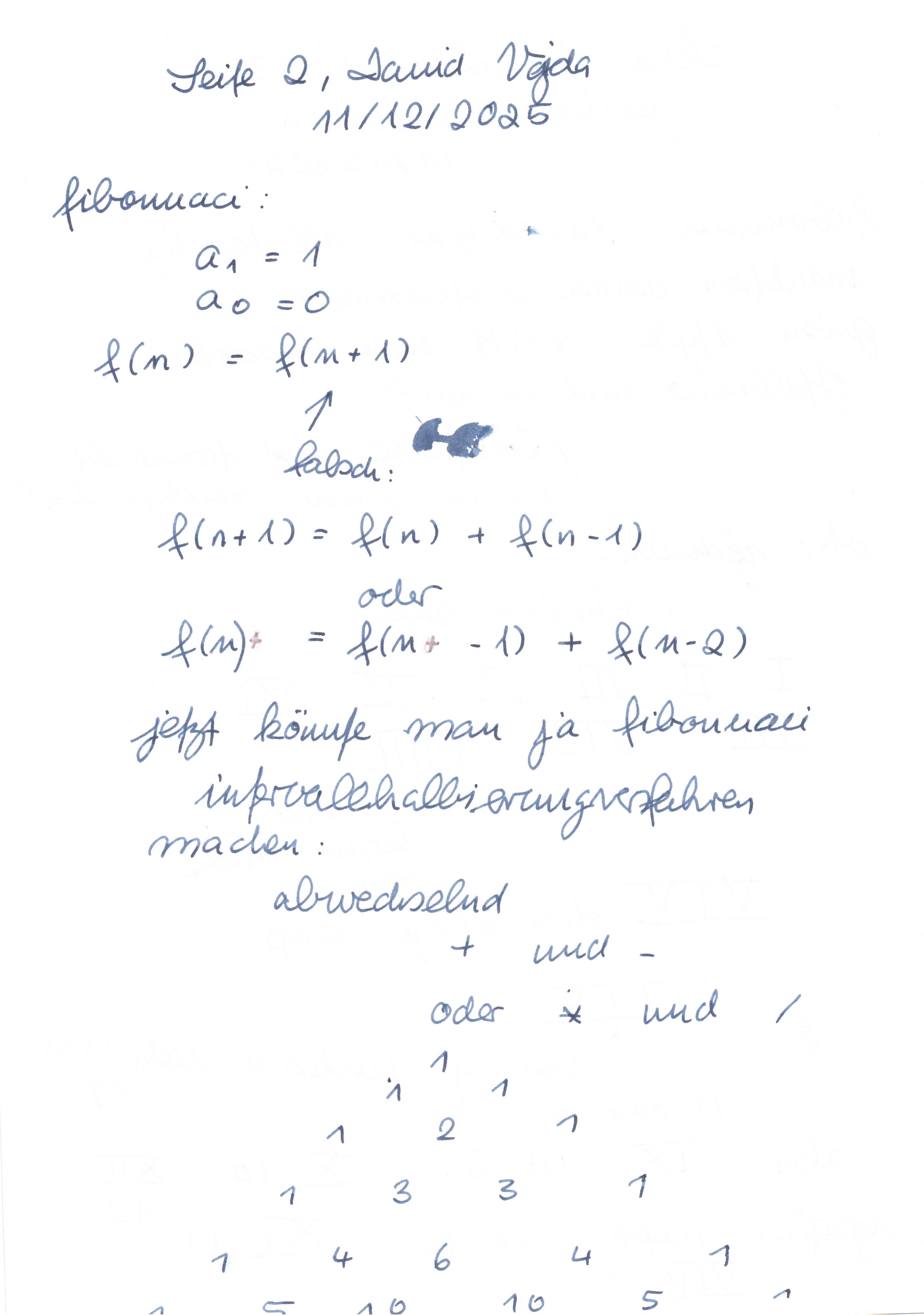
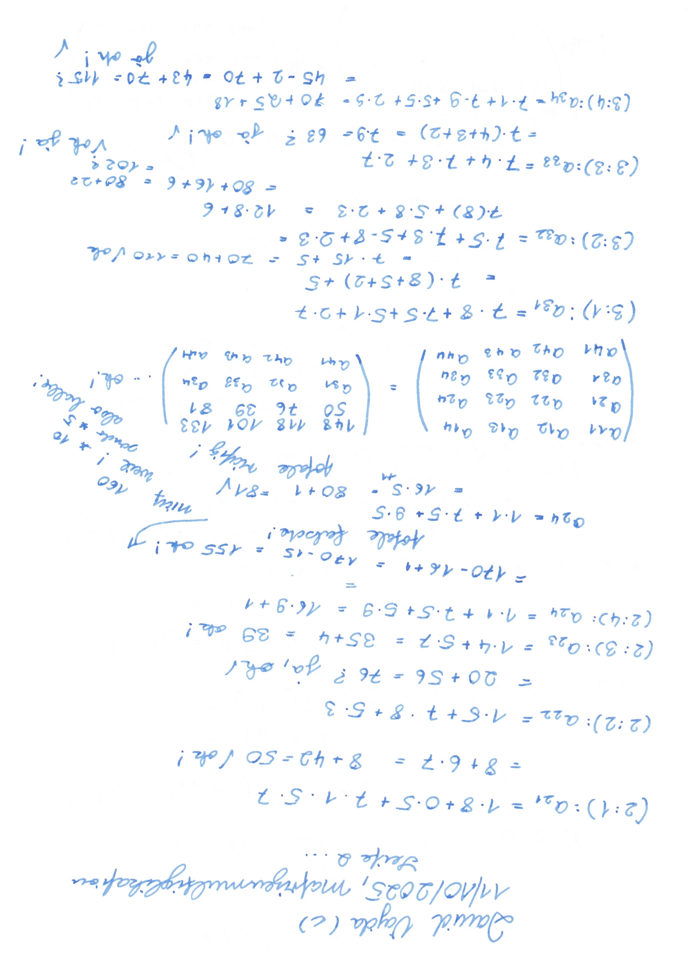
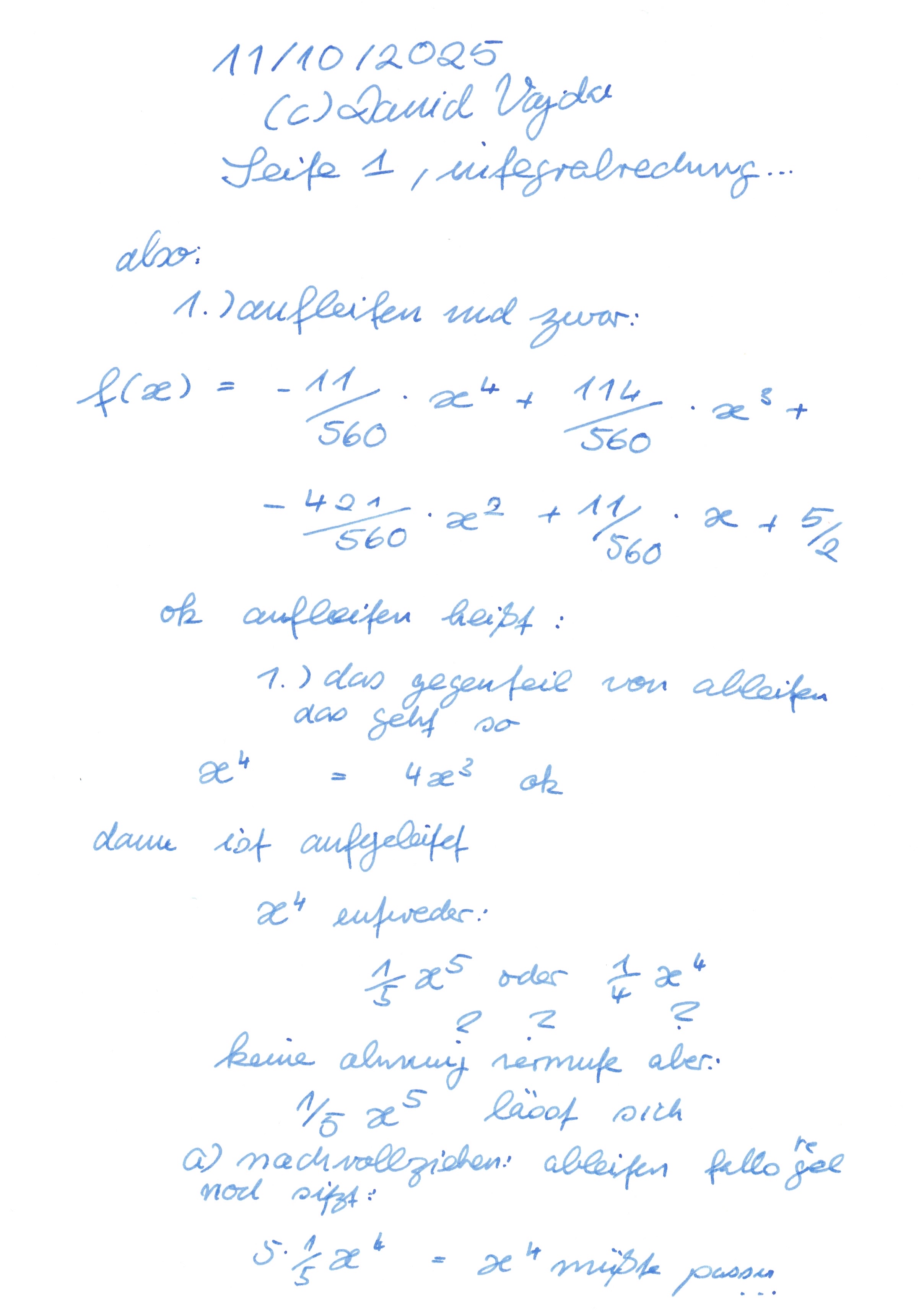
Next:
About this document ...
About this document ...
Next:
About this document ...