Re: Das neue Auswendig lernen und die neuen UEbungen -

Image 1O1ZtsHJ0MZ1z6ikj8iF9LiuKJtllZy7k

Image 1GSxkQ75m5iV8uJsMdSuWVV-Jo_ddu6wv

Image 1nNqO-m6HxfghhKYGN4VwidEH4RaIJENg

Image 1xerPkD4o6sHA6Up_vWoviVH2Dn9a668W

Image 1pcR99_B-8TAbCBU256jPf1njGJl-O3MA

Image 1hK3DrxWGpin0aGgU8UwNtiTW5IHCFQpk

Image 1-xkpsvnTj0M2AjIMLP-0Kwo0FjH-O8ln

Image 1Fa9Q7aG7RS25Ds48-6x_ms5maa59CWGV

# 2024 07 07

print(4+5)
print(2*6)

x = 2 * 4
y = 10 + 101
z = x * y

print(x)
print(y)
print(z)

if x < y:
    t = x
    x = y
    y = t
    print("x ist kleiner y")
else:
    print("x ist groesser gleich y")

if x < y:
    print("x ist kleiner y")
else:
    print("x ist groesser gleich y")

i=0
while i < 10:
    print (i)
    i = i + 1

a = [1,4]
i = 2
while i < 10:
    a.append ((i+1)**2)
    i = i + 1

y = 0
i = 0
while i < 10:
    y = y + a [i]
    print (a[i])
    i = i + 1

print (y)

9
12
8
111
888
x ist kleiner y
x ist groesser gleich y
0
1
2
3
4
5
6
7
8
9
1
4
9
16
25
36
49
64
81
100
385

1.) Rechne die Zahl in binaer Darstellung  in eine Dezimale Darstellung um
1111011011011110b 63198d
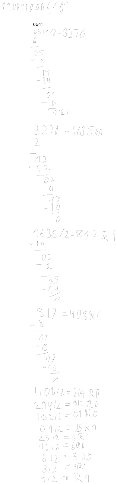
2.) Rechne die Zahl in dezimal darstellung in eine Binaerdarstellung um
6541 0001100110001101
3.) Addiere die drei Zahlen schriftlich
            56698
+            8123
+            2093
-----------------
            66914
4.) Subtrahiere die letzten drei Zahlen schriftlich von der ersten schriftlich
            49586
-            1941
-            1846
-           15682
-----------------
            30117
5.) Rechne die Zahl ins zweier komplement um, mit 8 Bit - und subtrahiere diese zahl von der ersten und rechne das Ergebnis nach dezimal
53 -13 = 40
00110101 11110011 = 00101000
6.) Multipliziere die zwei Zahlen schriftlich
55640*23150 = 1288066000
7.) Dividiere die zwei Zahlen schriftlich
39973/1640 = 24
8.) Errechne x Logarithmisch mit dem Taschenrechner
26350\^x = 1134691233

Image 1KugMs9h1N9ruLrYFPtB129oSxSMFqM6D

Image 1KytxzGWYa8HHyt4lhSd61Z42WMlbfMmO

Image 13nCteWQHzrqIdwBmv39tvA2AhCE-oMhN

Image 15-D6vy_S-7M380vSN0kXt5hf6WfYzGUr

Image 1ig9Y9w0iXYcPmf1loJ7s-tsriDg3ubB4

Image 1M94stPNVRHerAsTLtZpXrdEO_jXKccY9

Image 1ogh4NXKKL0z73Bki7Xhlnz5hPKRv2bAF

Image 10ZYrWY_u4Td244_DZI-Eoq7G6bM3dtS-

Image 1yBgF7dl2xwzKdHBkDojKhMxtC8Hmk5p4

Image 1zIpo_KSsF4sq8woc0VGt8o4q8iskhhKg

Image 1X3ohc3nFpj15ib6Rplo_aokAa9cGj34l

Image 1abpjkNHaslL0pDK9-sNYxOW99YbxWUBP

Image 1QZ98OaGS-FEFLJA0fxEQNwzIkL2esII1

Image 1O1ZtsHJ0MZ1z6ikj8iF9LiuKJtllZy7k

Image 1GSxkQ75m5iV8uJsMdSuWVV-Jo_ddu6wv