Nächste Seite:
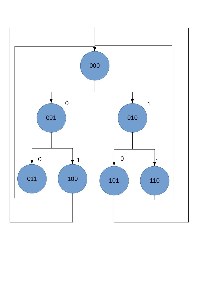
/media/sda-magnetic/david/Dok-15-2023-11-27/fernuni-hagen/cs-i-ii/old-cs-2-03/fsm-21-06-09/treefsm.jpg
Aufwärts:
elektrotechnik 02/11/2026
Vorherige Seite:
/media/sda-magnetic/david/Dok-15-2023-11-27/fernuni-hagen/cs-i-ii/old-cs-2-03/fsm-21-06-09/treefsm2.jpg
/media/sda-magnetic/david/Dok-15-2023-11-27/fernuni-hagen/cs-i-ii/old-cs-2-03/fsm-21-06-09/treefsm3.jpg